feature image

2026年3月14日 | ブログ記事

実用性重視な"なぜか授業で習わない"微分方程式の解き方

はじめに

この記事は新歓ブログリレー2026の9日目の記事です。

どうもこんにちは、初めましての人は初めまして。
25BのgenMira(ミラと発音してください)と申します。

みなさん、微分方程式は好きですか?僕は線形斉次常微分方程式なら好きです。階数は2階までなら許容。愛せます。

今、「何言ってんだコイツ...」と思った方。貴方の感性は正常です。
今、「何言ってるかわからないよ...」と思った方。そんな貴方こそ、この記事のターゲット層です。

というのも、弊大学では授業の内容は担当教員が決められるという制度になっているんですが(大体の大学はそう)、それによって

数学担当「微分積分学の講義だけど、学生には微積の本質を丁寧に教えたいな。よし、本質から逸れるから微分方程式はカットで」
物理担当「どうせ数学の授業で微分方程式の解き方と行列の計算は習うでしょ。じゃあ授業でも使っていいよね」

のようなことが起こると、微分方程式の解き方を習っていないのに授業は既修であるという前提で進む、みたいなことが起こりえます。(経験談)

そこで、微分方程式の解き方を知らない人のために、細やかな理論は飛ばして、その基礎である1階線形斉次常微分方程式と2階線形斉次常微分方程式のよくある例についてを記したいと思います。

微分方程式の用意

高校時代には微分というものをなどのように書いたと思います。
しかし大学以降になるとという書き方が増えてきます。なぜなら、どの変数で微分するかを明示したいからです。
高校数学ではと言ったらで微分したものでしたが、これはで微分したという暗黙の了解のもとで成り立っています。

しかし大学では何で微分するかは問題によって変わってきます。例えば物理ではよく時間に関して微分したいということが起こります。時間の変数は一般的にはなのでについて微分するということですね。と言ったら物理では一般的には位置です。
なのでどの変数で微分するかを明示して置いた方が良い場合が多いんです。

具体例で言うと位置を時間の関数で微分したもの、つまり速度はと表されることが多いです。

さらに物理では2階微分も頻繁に登場します。この時で2階微分したもののように書きます。初見で見るとどうも腑に落ちない感のある書き方ですよね。

これも位置を時間の関数で2階微分したもの、つまり加速度をと書くときなどに使われます。

1階微分方程式

具体例で言うと、速度に比例する空気抵抗がある場合の自由落下する物体の運動方程式

です。書き換えると

ですね。

さて具体的な解き方ですが、

で表される微分方程式は

と変形すると、両辺にをかけて積分して

ただしCは積分定数です。

がついているのは絶対値を外すためです。
とはいえこれだと見にくいのでより、というのを新たに定数でおけば(これはでおくことが多い)

となります。

これを踏まえて冒頭の微分方程式を解いてみましょう。わかりやすく書き換えると

ですね。これは

ですから同様に解いてあげれば

ではこれで完成かというとそうではありません。これはあくまで一般解と呼ばれる形、つまりこの微分方程式を満たす方程式はこれだと求めただけです。

この結果では定数Aが定まっておらず、それによって具体的なグラフを書けないのです。
そこで問題設定的にこの方程式が満たすべき条件を考えて、それによって定数を決定します。

例えばこの問題で自由落下を想定するとです。(これをと書きます)
この条件が加わると

が求まります。

これによってこの自由落下した物体の速度は

と決定することができるのです。これが特殊解です。

なおこのときに必要な条件のことを初期条件といいます。初期条件によって微分方程式の振る舞いは大きく変わるので非常に重要だったりします。

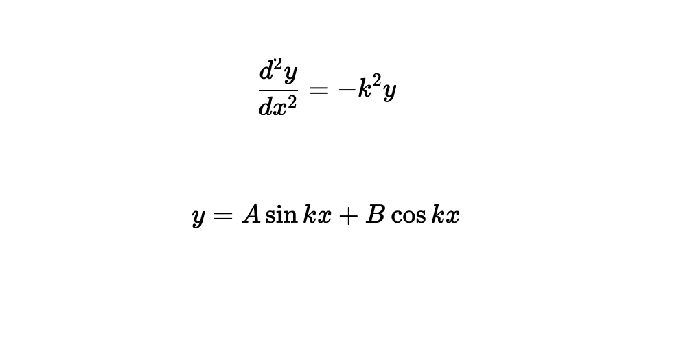
2階微分方程式

具体例で言うと、バネの先におもりをつけた単振動

です。

さて、具体的な解き方ですが

の解は

です。

ここで賢明な読者の皆様は「え、いきなり解?過程はどうしたの?」と思うでしょう。

めんどくさいのでやりません

過程は比較的難しく本記事の趣旨に反するのでやりません。
一旦解がこの形で置かれると言うことだけ覚えればOKです。答案にも堂々と「」と書きましょう。物理等であれば数学的な導出過程なんて気にされませんから。
あとはを初期条件から求めればOKです。

さて冒頭の単振動を考えます。初期条件はであるとします。(定数が2個なので初期条件は2つ必要)

方程式をわかりやすく書き換えれば

です。

よって一般解は

であり初期条件を踏まえると

となります。

なお、で表される振動の周期はであることが知られています。なのでこの単振動の周期はとなります。この知識稀に使います。

終わりに

いかがでしたでしょうか。これらの知識があれば授業で習っていなくてもついていくことはできると思います。

とはいえ数学的厳密性を無視した、結果さえわかれば良いと言うものになっているので、そこだけ注意してくださいね。特に数学屋さんの前では使わないように。

明日の投稿者は@hueterさんです。お楽しみに。

ではまたどこかで!

genMira icon
この記事を書いた人
genMira

この記事をシェア

このエントリーをはてなブックマークに追加
共有

関連する記事

2026年3月20日
2048でショートコーディング
quarantineeeeeeeeee icon quarantineeeeeeeeee
2026年3月18日
Grafana ObservabilityCON on the Road 参加記
Pugma icon Pugma
2026年3月16日
LaTeX in VSCode 快適執筆編
Hueter icon Hueter
2026年3月11日
ICPC Asia Pacific Championship 2026 参加記(Zer0shiki/comavius 視点)
comavius icon comavius
2026年3月10日
Androidタブレットの選び方
akimo icon akimo
2026年4月4日
C++で挑む入出力限界高速化
zoi_dayo icon zoi_dayo
記事一覧 タグ一覧 Google アナリティクスについて 特定商取引法に基づく表記